什么是PTP不对称时延,新葡萄88805官网怎么应对?
自从2008年IEEE1588v2(PTP)授时技术标准发布以来,由于其便利性与高精确度(相对于NTP),PTP授时技术在全球得到了广泛应用,如今中国三大电信运营商、国家电网、国铁与地铁通信网等各个行业均使用PTP授时技术作为高精度长距离时间同步手段。
PTP授时技术通过下图的双向报文交换实现授时。

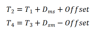
T1–sync 消息在主站出发的时间戳;
T2–sync 消息到达从站的时间戳;
T3–delay request 消息在从站出发的时间戳;
T4–delay response 消息到达主站的时间戳;


DMS-去程通道(主设备到从设备)时延;
DSM-回程通道(从设备到主设备)时延;
Offset-从设备相对于主设备的时间差。

对称情况下:


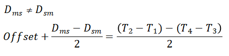
不对称情况下: 


从上面的原理可以发现,现行的PTP授时只能假设来回链路延迟相等来计算时间误差,但这不符合实际情况。传输链路的来回光缆长度差异、中间设备上下行处理速度差异等都会导致来回传输延迟不相等(又称为不对称时延),这些误差的一般会被累加到从端设备的同步误差里,即不对称时延
。
为了尽可能的消除PTP的不对称时延,业内工程师多年来用了各种办法尽量减少不对称时延的影响。例如采用光纤传输代替电缆传输、尽量在靠近物理层的位置用FPGA或其他专用硬件电路打时间戳、尽量选用单纤双向传递方式以避免来回光路距离不相等带来的不对称时延。但即便如此,同一光纤中来回两个波道也会因为光的色散效应导致不对称时延。假设1490nm作为去程通道,1550nm作为回程通道,在典型的G.652光纤中,据测算100km光纤带来的异步延迟为50ns,对于追求亚纳秒甚至皮秒级的5G时间同步网络,这种误差是不可接受的。
针对这一多年来制约PTP发展的关键缺陷,新葡萄88805官网发明了一种可以在单纤双向环境下自动测量PTP不对称时延并自动补偿的方法,用此方法实现的PTP同步机制可自动消除光纤色散效应带来的不对称时延,提高PTP时间同步精度。
该技术被集成到新葡萄88805官网的时间服务器TFT3001中,该设备的PTP功能在G.8275.1标准基础上融合新葡萄88805官网专利技术,可精确计算并自动补偿光纤色散带来的异步延迟,真正做到主从时钟同步偏差≤5ns,同步分辨率≤1ns。

测试链路示意图

测试结果截图
如果你有任何问题,欢迎邮件或电话咨询
Email: liyan@groundbeidou.com
Phone: +86 15928828658